量子态是什么?
量子态是什么?

点蓝字关注
点【···】分享

量子态是什么?
施郁
量子力学有一套理论框架描述这些性质。光子的偏振由一个量子态描述。我们可以把它记为|ψ>。它在数学上是一种矢量。
我们知道,空间中的矢量,比如位置,由几个坐标(或者叫分量)确定。任意一个矢量都可以分解为几个互相正交的基本矢量。它们平行或反平行于坐标轴,长度大小就是坐标的绝对值,方向由坐标的符号代表。它们称作基矢。
与之类似,量子态这种矢量也可以分解为几个互相正交的基矢,它们称为基矢态。这里的矢量不是在我们所生活的空间,而是在一个抽象的数学空间里,称作矢量空间。它是这个量子系统的所有可能的量子态的集合,服从一定的运算规则。这些矢量的正交也有它的定义。
在我们生活的空间里,坐标的选择是任意的。与之类似,对于一个量子态来说,选择哪一套基矢态来展开或者分解也是任意的。但是为了计算某个测量的概率,选择与这个测量对应的基矢态比较方便。光子透过偏振片可以看作一个测量过程,如果偏振方向沿着偏振片的透光轴方向,就会穿透;而如果垂直于透光轴方向,就不能穿透。
为简单起见,我们考虑某个垂直入射偏振片的线偏振光子。假设在偏振片上定义一个xy平面,光子的线偏振沿着θ方向。我们将这个偏振量子态记作:
|θ>
现在我们先假设偏振片的透光轴沿着x方向。为了计算光子透过偏振片的概率,可以把光子原来的量子态分解如下:

其中|↔>与|↕>互相正交,|↔>代表光子偏振方向沿着x方向,即目前偏振片的透光轴,|↕>代表光子偏振方向沿着y方向,即垂直于偏振片的透光轴。
光子入射偏振片,量子态变得非此基矢态即彼基矢态,要么变成|↔>,从而透过偏振片;要么变成|↕>, 从而不能通过偏振片。前者的概率是(cosθ)^2,后者的概率是(sinθ)^2。概率等于展开式(1)式右侧各基矢态前面的系数(通常称作展开系数)的模的平方。这是由量子态决定概率的基本规则。这些系数的模的平方之和等于1,因为各种可能的概率之和应该是1。因此,光子穿透偏振片的概率是(cosθ)^2,穿透后的量子态变为|↔>。
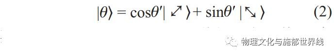
现在我们改变一下偏振片的方位,将它逆时针转动45°,然后再将处于同样偏振量子态θ的光子入射。现在将光子的量子态θ作如下分解比较方便:

其中:
θ'= θ-45°,

代表光子偏振方向沿着45°方向,即目前偏振片的透光轴。
代表光子偏振方向沿着135°方向,即垂直于偏振片目前的透光轴。
可以看出,对于目前的偏振片透光轴方向,光子穿透偏振片的概率是(cosθ’)^2, 穿透后的量子态成为:
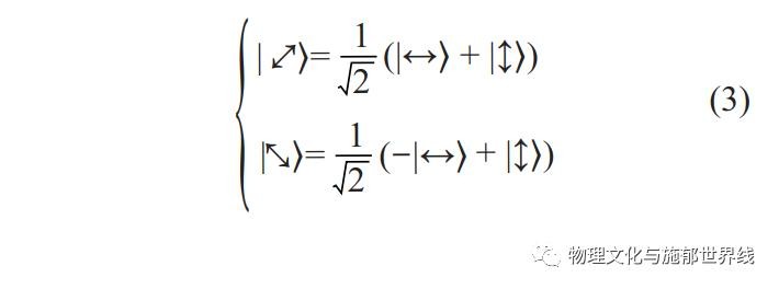
事实上, 式(1)也适用于
和
分别对应于θ=45°和θ=135°,也就是说,

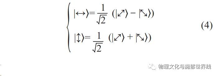
反过来就是:

后两式也可以分别通过将θ=45°和θ=135°带入(2)式得到。
引用本文的方式
施郁. 揭秘量子密码、量子纠缠与量子隐形传态,自然杂志,2016年38卷4期,241-247.
排版丨刀刀
-
- 德国宣布纳瓦利内系“诺维乔克”中毒“诺维乔克”是什么东西?
-
2026-01-01 21:24:55
-
- 清华大学最差的4个专业到底多差,能是个什么档次
-
2026-01-01 21:22:40
-
- 栗:栗怎么读,不读sù,西木是什么字,姓氏字有必要学会它!
-
2026-01-01 21:20:26
-
- 大学生如何申请国家助学金?申请流程是什么?
-
2026-01-01 21:18:12
-
- “十”字加一笔,你最先想到的是什么字?
-
2026-01-01 21:15:57
-
- 稻米、黍米、稷米都听不少,竹米是什么东东?
-
2026-01-01 11:30:52
-
- 江西修水某老师掌掴学生后被学生反击,留给我们的反思是什么?
-
2026-01-01 11:28:37
-
- 靠造假烟年入千万?福建云霄假烟凭什么逼得正品都来模仿
-
2026-01-01 11:26:23
-
- 纳粹德国到底出了多少元帅?其外号又叫什么?
-
2026-01-01 11:24:09
-
- 男生“两边掏空”发型叫什么?这3款干净帅气,剪完很清爽
-
2026-01-01 11:21:54
-
- 蓝燕逆袭之路:从黯淡星星到东方美人,她的秘密武器是什么?
-
2026-01-01 11:19:40
-
- 桉树竟然有毒?广西的种植决策到底受到了什么影响?
-
2026-01-01 11:17:26
-
- RTX 2060显卡属于什么水平?中端市场的强力竞争者
-
2026-01-01 11:15:11
-
- 塌房主播集体“转世”复活!网红直播圈又在搞什么鬼?
-
2026-01-01 11:12:57
-
- 家里出现壁虎是福还是祸?家里有壁虎究竟暗示着什么寓意?
-
2026-01-01 11:10:43
-
- 退伍军人家门口挂的 “光荣之家”铁牌子,有什么用?意义非凡
-
2026-01-01 01:25:37
-
- 子、孑、孓、了读什么?子、孑、孓、了这四个字本义居然都是孩子
-
2026-01-01 01:23:23
-
- 影像全面缩水 但OPPO Find N5依旧热卖 说明了什么?
-
2026-01-01 01:21:08
-
- 【新手必看】CAD是什么以及如何进行版本转换
-
2026-01-01 01:18:54
-
- 猫常常会发出的“咕噜咕噜”的声音这个声音背后藏着什么秘密?
-
2026-01-01 01:16:40



怎么看出女人刚做过 怎么看女生今天有没有做过
为什么女人喜欢被添 女人喜欢男人添阴部的原因
女生说滚怎么回复 女生说滚是什么意思
《口袋妖怪究极绿宝石4》二周目攻略
广元市的十大特色美食
追女生需不需要每天说晚安?不要低姿态追女生
三家分晋后,魏国历经8位君主,结果一代不如一代
有哪些浪漫到骨子里的情话 说出这些话的人很浪漫
英联邦究竟是什么?
再婚家庭最忌讳什么(有两个忌讳要尽量避免)