如何推导柯西中值定理(中值定理之柯西定理)
如何推导柯西中值定理(中值定理之柯西定理)
柯西定理定义

我们同样进行拆解:柯西定理需要满足三个条件
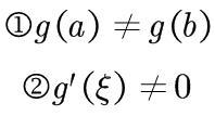
f(x),g(x)在[a,b]内连续f(x),g(x)在(a,b)内可导g'(x)不等于0
其中最后一个条件,可以推出以下式子成立:

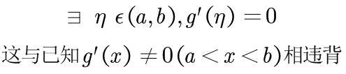
对于第二个式子,很明显成立,那么我们看看第一个式子的推导(反证法)
假设g(a)=g(b),那么g(x)满足罗尔定理所需条件,那么我们可以得出结论:

综上所述,当满足上述三个条件时,可使用柯西定理。
柯西定理证明
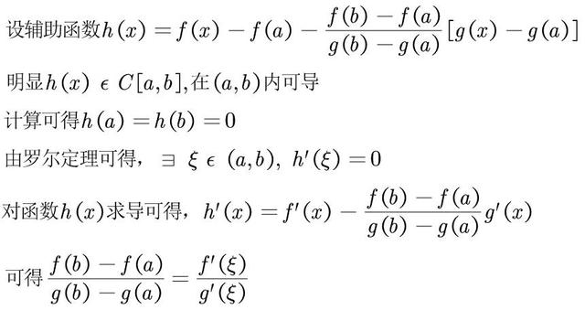
这里的辅助函数我们可以参考上篇拉格朗日定理证明所设的辅助函数,证明如下:

总结
对比罗尔定理,拉格朗日定理和柯西定理,我们可以发现一个特点:
罗尔定理是特殊的拉格朗日定理(或在特殊情况下的)拉格朗日定理是特殊的柯西定理(或在特殊情况下的)
三大中值定理需要注意的是它们所需要的条件。
,
-
- 还在纳闷马猴烧酒是什么意思?盘点动漫里面那些有名的梗
-
2025-11-22 11:46:35
-
- 各类烟花爆竹图片 各类烟花爆竹的区别
-
2025-11-22 11:44:20
-
- 董文华死了是真的吗_自杀未遂原因内幕
-
2025-11-22 11:42:05
-
- 送男朋友生日红包数字 男朋友生日发红包数字
-
2025-11-22 11:39:50
-
- 联创102玉米种子简介(审定公告介绍)
-
2025-11-22 11:37:35
-
- 为什么20岁了还没女朋友,我该怎么办
-
2025-11-22 11:35:20
-
- 什么的画家(什么的画家一年级)
-
2025-11-22 08:03:25
-
- 全密封铁皮罐头怎么开 铁皮罐头打不开怎么办
-
2025-11-22 08:01:10
-
- 成语慎言笃行意思_词语解释字义分解
-
2025-11-22 07:58:55
-
- 紫荆的盆景制作方法
-
2025-11-22 07:56:40
-
- 章小蕙面相解析 什么样的面相好?
-
2025-11-22 07:54:25
-
- 拜神苹果一般摆几个合适
-
2025-11-22 07:52:10
-
- 怎么让隔夜蛋挞变酥脆 隔夜蛋挞怎么加热才脆
-
2025-11-22 07:49:55
-
- 神雕侠侣端游还有人玩吗 梦华录再相遇《神雕侠侣》端游神仙眷侣再续前缘
-
2025-11-22 07:47:40
-
- 天秤座男生最喜欢的女生性格特点
-
2025-11-22 07:45:25
-
- 什么是证券 证券市场线sml名词解释
-
2025-11-22 07:43:10
-
- 九里香怎么过冬
-
2025-11-22 04:25:16
-
- 除螨仪的选购技巧 除螨仪的原理
-
2025-11-22 04:23:01
-
- 杨妃简介(杨妃宗李世民内官四妃之一)
-
2025-11-22 04:20:46
-
- 骆驼祥子每章概括(骆驼祥子每章概括100字左右)
-
2025-11-22 04:18:31



从人均985到遍地键盘侠,我在WP7吧看到了互联网的悲哀
吴亦凡被全网封杀,妈妈吴秀芹上线几十次,网友说她做对一件好事
受贿1787万余元!联通资产运营有限公司原副总张清贵一审获刑11年半
卡尔维诺:一位因口头表达能力差而走上写作道路的“苦行派”作家
河南银保监局打出政策组合拳 全力支持稳住经济大盘
除了小龙虾,五一档竟然还有哲学与诗?
开天眼后到底能看到什么?震惊了千万人!不可思议!
河北名山,爬山好去处,你去过几座?第一篇
黄荣奇和史鸿飞,风格完全相反,却凸显出国内球员的一大问题