回首“姜育恒”经典专辑——跟往事干杯
回首“姜育恒”经典专辑——跟往事干杯
1988年由台湾飞碟唱片所推出的“姜育恒”经典专辑《跟往事干杯》!他在87年从“光美唱片”转到飞碟唱片,这张专辑是他在飞碟唱片的第二张专辑,对他来说这也无疑是他音乐生涯的一次重要转折点。

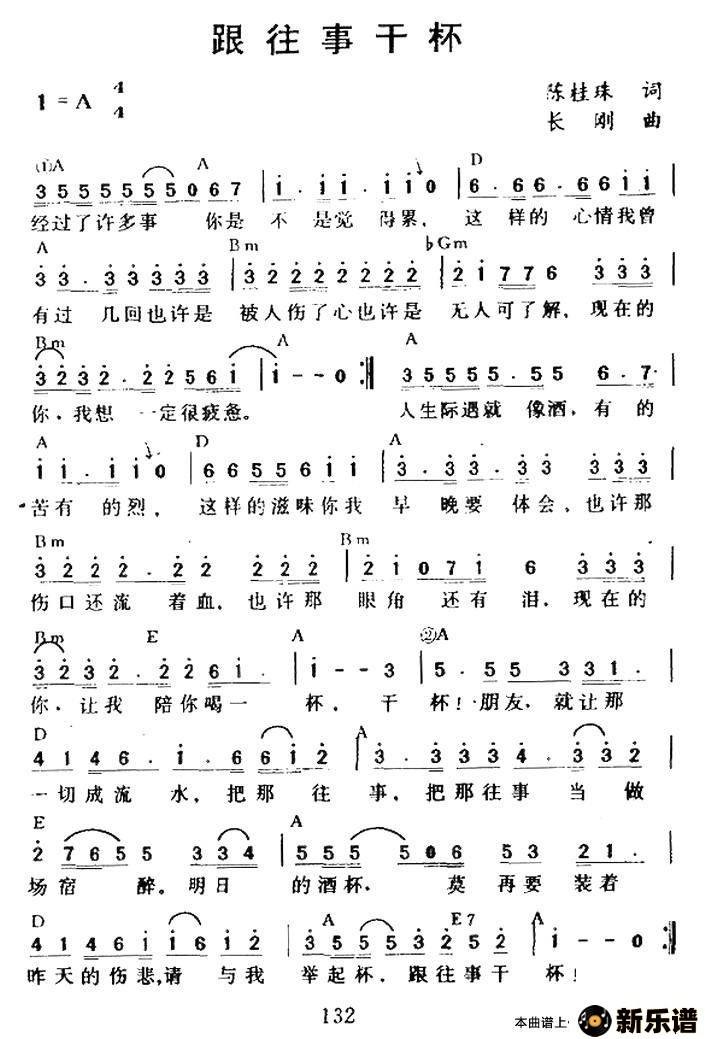
专辑共收录了十首歌曲,专辑的同名主打歌《跟往事干杯》,这首歌曾经风靡了大街小巷,但这是姜育恒翻唱的一首歌曲,原唱是日本音乐人“长渕yuān刚”的作品,由曾为童安格填写了《其实你不懂我的心》的台湾作词人“陈桂珠”重新填词;这首歌之所以能成为经典,少不了陈桂珠的精彩中文填词的功劳。

说实话,《跟往事干杯》这首歌呢,真的太适合姜育恒了,熟悉姜育恒的歌迷朋友应该都知道,他是一个非常爱喝酒的人,而且呢,他在录歌之前一直有一个习惯,就是他会喝一点点红酒来调整自己的情绪,然后找到最好的录音的状态;在这个专辑的歌词本当中还有这样的一段话,说他不是经常纵酒放歌的人,也不是个会对生活发出呐喊的人,他常常轻浅但深刻地唱些你心里的话,也总是在最深冷的夜里独自浅酌。

姜育恒(Johnny),1958年11月15日出生于韩国首尔,祖籍山东荣成,中国台湾男歌手。
1984年,发行首张个人专辑《孤独之旅》;1985年,发行专辑《但愿长醉》,入闱金嗓奖最佳男歌手奖;1989年,发行专辑《多年以后·再回首》 ,其中主打歌曲《再回首》走红并因在1991年的央视春晚上演唱而在中国大陆为人熟知 ;1992年11月,凭借专辑《一个人》获得第三届金曲奖最佳演唱专辑奖。2004年11月,受邀赴美国参加洛杉矶AM1300华语电台十周年台庆晚会,并获洛杉矶AM1300电台颁发”亚洲最受欢迎艺人奖”、 洛杉矶县政委员会颁发”亚洲杰出艺人奖”、洛杉矶阿凯迪亚市颁发”荣誉市民证书” ;2013年,举办世界巡回演唱会《我和我的朋友》。
姜育恒祖籍山东荣成,父母早年间去了韩国,在一个距离首尔100多公里的小镇生活。等到姜育恒上小学时已经家道中落,中学时代姜育恒为了上有中文教育的中学,离开父母外出求学,曾尝试过各种打工方式挣钱贴补家用,送过外卖、做过餐厅服务生、卖过鞋油,还在下雨的时候做过卖伞生意。少年时代的磨炼为他后来回台湾发展打下了基础,“姜育恒能吃苦”在圈内人人皆知。高中时姜育恒爱上音乐,还与同学组成乐团,一直持续到高三母亲病逝后。24岁时,父母早逝的姜育恒到台湾投奔姐姐一家,想找一份和音乐有关的工作,因为没有渠道,一年多都没有找到工作,甚至被迫去日本做服务生打工。后来,他在一家台湾夜总会谋得一份弹贝斯的差事,有歌手唱歌他就做乐手,没有歌星就客串一下主唱。1984年,姜育恒凭借忧郁的气质和独特的唱腔赢得了光美唱片的一纸合约 。
-
- 广州行(202304)佛门的书香之地——法雨寺(2)
-
2026-03-13 05:29:44
-
- 巅峰时期的日本面积有多大?700万平方公里还仅仅只是开胃菜!
-
2026-03-13 05:27:29
-
- 保湿爽肤水哪个牌子好 保湿补水口碑最好的爽肤水排行榜10强
-
2026-03-13 05:25:15
-
- 【家庭关系】如何处理父母和子女之间的关系?
-
2026-03-13 05:23:01
-
- 这里是龙岩
-
2026-03-13 05:20:46
-
- 武汉一中学生跳楼坠亡:课间听歌遭老师当众责骂体罚
-
2026-03-13 05:18:32
-
- 精彩推荐!女主会玄学风水苏爽文,金手指大开,大师了解一下
-
2026-03-13 05:16:18
-
- 国体和政体
-
2026-03-13 05:14:03
-
- 深圳公租房2024年配租时间预测
-
2026-03-12 23:01:47
-
- 全球第五代战斗机大比拼,王牌武器请求出战
-
2026-03-12 22:59:33
-
- 海南解放前夕的琼崖纵队,两位副司令员都成了少将,那司令员呢?
-
2026-03-12 22:57:19
-
- 干露露与干毛毛重出江湖,不雅照意外流出!
-
2026-03-12 22:55:04
-
- 都教授金秀贤与女团成员Sandara惊爆恋情 粉丝心碎!
-
2026-03-12 22:52:50
-
- 壁纸头像 | 杜兰特:唯有爱与篮球不可辜负(下期哈登)
-
2026-03-12 22:50:36
-
- 白水杜康和洛阳杜康究竟因何生“恨”?谁才是正统杜康酒?
-
2026-03-12 22:48:21
-
- SONY IMX386首发!魅族MX6正式发布 + 多图上手
-
2026-03-12 22:46:07
-
- 2023年2月20日复合肥行情
-
2026-03-12 22:43:53
-
- 14岁森碟运动大片曝光,扎高马尾元气满满,露大长腿肉脸酷似爸爸
-
2026-03-12 22:41:38
-
- 烟台蓬莱国际机场扩建情况
-
2026-03-12 16:29:22
-
- 五本年代文推荐!穿越,穿书,重生,知青,在那个年代活出精彩!
-
2026-03-12 16:27:08



从人均985到遍地键盘侠,我在WP7吧看到了互联网的悲哀
一个问题长期悬疑:谁是《左传》的作者?
吴亦凡被全网封杀,妈妈吴秀芹上线几十次,网友说她做对一件好事
骁龙782g处理器和870哪个更好(骁龙782g与870性能比较)
受贿1787万余元!联通资产运营有限公司原副总张清贵一审获刑11年半
卡尔维诺:一位因口头表达能力差而走上写作道路的“苦行派”作家
开天眼后到底能看到什么?震惊了千万人!不可思议!
河北名山,爬山好去处,你去过几座?第一篇